CAS Number: 6419-19-8
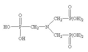
Molecular Formula: N(CH2PO3H2)3
Molecular Weight: 299.05
Structural Formula:

Properties: ATMP can prevent scaling in water systems, especially in industrial circulating cooling water systems and oilfield water pipelines in thermal power plants and oil refineries. It can also be used as a chelating agent in the textile and dyeing industries, as well as a metal surface treatment agent.
Solid Form: Crystalline powder, soluble in water, easily deliquescent, suitable for use in winter and cold regions.
Specifications:

Usage: ATMP is usually used together with organophosphoric acid, polycarboxylic acid, and salts to build all-organic alkaline water treatment agents. It can be used in various circulating cooling water systems, with a recommended dosage of 1-20mg/L. As a corrosion inhibitor, a dosage of 20-60mg/L is preferred.
Packaging and Storage: Liquid ATMP: 200L plastic drum, IBC (1000L), customer's requirement. Solid ATMP: 25kg/bag, customer's requirement. Store in a cool, dry place for ten months.
Safety Protection: Acidity, avoid contact with eyes and skin, flush with water if contacted.